Lignes directrices relatives aux conditions de cession des listes d’abonnés ou d’utilisateurs à des fins d’édition d’annuaires universels ou de fourniture de services universels de renseignement / 16 décembre 2004

Les lignes directrices en téléchargement (pdf)

Sommaire

I - Cadre réglementaire

II - Objet des lignes directrices

III - Conditions techniques

IV - Conditions financières


I. - Cadre réglementaire

L’article L. 33-4 du code des postes et télécommunications, non modifié sur ce point mais devenu l’article L. 34 du code des postes et des communications électroniques en vertu de l’article 9 de la loi " communications électroniques " du 9 juillet 2004, impose aux opérateurs de communiquer dans des "conditions non discriminatoires et à un tarif reflétant les coûts du service rendu, la liste de tous les abonnés ou utilisateurs auxquels ils ont affecté, directement ou par l’intermédiaire d’un distributeur, un ou plusieurs numéros du plan national de numérotation" lorsqu’ils sont saisis d’une demande présentée en vue d’éditer un annuaire universel ou de fournir un service universel de renseignements.

Cet article a été précisé par le décret n° 2003-752 du 1er août 2003 relatif aux annuaires universels et aux services universels de renseignements et modifiant le code des postes et télécommunications. Celui-ci prévoit en particulier une inscription automatique des abonnés sur les listes d’abonnés en cas de silence gardé pendant un délai de six mois courant à compter du jour où ils sont avertis par leur opérateur de leurs droits en matière de listes d’abonnés.

Cependant, le nouvel article L. 34 du code des postes et des communications électroniques, dispose désormais que les opérateurs mobiles doivent obtenir le consentement préalable de leurs abonnés avant de les inscrire sur les listes d’abonnés.

C’est pourquoi le Ministre délégué à l’industrie a informé le secteur en septembre 2004 qu’il entendait modifier le décret d’août 2003 afin de prendre en compte cette nouvelle procédure ; il a ainsi soumis à consultation publique un projet de décret modifiant le décret n° 2003-752 du 1er août 2003 relatif aux annuaires universels et aux services universels de renseignements et le code des postes et des communications électroniques.

Parallèlement à ces modifications, des travaux ont démarré dès le mois de septembre 2003 avec les opérateurs, les éditeurs et la CNIL afin d’organiser les modalités de constitution, de gestion et de cession des listes d’abonnés. Les présentes lignes directrices viennent donc clôturer ces travaux. Elles se fondent sur les dispositions législatives et réglementaires du code des postes et des communications électroniques et ont été rédigées à la lumière du projet de décret précité, tel que soumis à consultation publique. Elles feront l’objet de modifications si ce décret une fois publié devait contenir des dispositions différentes.

Le présent document rappelle en annexe le cadre réglementaire actuel, sans intégrer à ce stade le projet de décret précité.

 

II. – Objet des lignes directrices

Les présentes lignes directrices visent à répondre aux attentes des acteurs du secteur, et à favoriser une publication rapide des annuaires universels et une mise en place rapide des services universels de renseignements en réduisant les conflits potentiels entre opérateurs et fournisseurs de ces services (désignés dans ce document sous le terme générique d’éditeurs).

Elles ont été rédigées en concertation avec les acteurs du secteur, opérateurs et éditeurs, ainsi que de la Commission Nationale Informatique et Libertés (CNIL) et s’attachent :

  • d’une part à recommander des conditions techniques harmonisées ;
  • d’autre part à préciser les orientations de l’Autorité en ce qui concerne les conditions financières de cession.

L’adoption de ces lignes directrices ne prive toutefois pas l’Autorité de régulation des télécommunications de sa liberté d’appréciation. Dans le cadre d'un règlement de différend portant sur les conditions techniques et financières de fourniture des listes d'abonnés, l'Autorité conservera ainsi la possibilité de s’écarter des orientations définies ci-dessous, soit pour des motifs d’intérêt général, soit pour tenir compte de circonstances particulières. Dans les deux cas, l'Autorité s’efforcera d’en exposer précisément les raisons.

Les présentes lignes directrices visent ainsi à présenter les conditions dans lesquelles tout opérateur attribuant des numéros du plan de numérotation national doit céder la liste des utilisateurs de ces numéros à tout éditeur d’annuaire universel ou de service universel de renseignements ayant reçu préalablement un récépissé de la CNIL.

 

III. – Conditions techniques

III. – 1. Prestations

En vertu de l’article R. 10-4 du code des postes et des communications électroniques, les modalités d’accès à la base de données, le format des données ainsi que les caractéristiques du fichier sont définis par accord entre le demandeur et l’opérateur.

Sur la base de la concertation menée avec le secteur, il paraît toutefois utile à l’Autorité de recommander ci-après certaines conditions techniques destinées à faciliter la conclusion d’accords.

Il est ainsi recommandé que les opérateurs fournissent les formules suivantes :

  • Achat du dernier fichier complet à jour ;
  • Contrat de cession de liste avec mise à jour incrémentale hebdomadaire ;
  • Contrat de cession du fichier complet, avec mise à jour hebdomadaire ;
  • Contrat de cession du fichier complet, avec mise à jour mensuelle ;
  • Contrat de cession du fichier complet, avec mise à jour annuelle à une date donnée. ;

Les opérateurs sont libres de proposer aux éditeurs d'autres conditions, et notamment un fichier "delta" de façon quotidienne, mais se doivent de conserver la cohérence de leur grille tarifaire étendue à ces nouvelles offres.

III. – 2. Résiliation et portabilité

Afin de garantir le maintien au sein des annuaires universels et des services universels de renseignements des informations propres à un utilisateur qui porte son numéro vers un autre opérateur, il est souhaitable que les opérateurs gèrent la portabilité entrante et, sous réserve de faisabilité, la portabilité sortante.

Il est ainsi recommandé que dans l’hypothèse où un abonné rejoint un nouvel opérateur en conservant un numéro précédemment géré par un autre opérateur, le nouvel opérateur demande à ce nouvel abonné ses choix de parution pour les utilisateurs concernés et met à jour les listes à fournir aux éditeurs en conséquence dans un délai raisonnable. Il résulte de la concertation menée par l’Autorité que ce délai pourrait être de deux jours ouvrables à l’issue de l’ouverture du service à l’abonné.

La liste d’utilisateurs fournie à l’éditeur doit mentionner qu’il s’agit d’un numéro porté et référencer l’opérateur précédent, afin de lui faciliter la mise à jour de ses données.

La gestion de la portabilité sortante par les opérateurs (mention dans les listes d’annuaire de la fin de contrat mais maintien du numéro au titre d’un autre opérateur) est recommandée, la responsabilité de l’exactitude de parution dans la liste d’utilisateurs fournie aux éditeurs incombant au nouvel opérateur.

Dans le cas où cette portabilité sortante est gérée, les éditeurs doivent conserver dans leurs listes les données personnelles liées aux utilisateurs pour lesquels ils ont reçu mention de la part de l’ancien opérateur que l’utilisateur avait terminé son contrat mais conservé son numéro. Ces données personnelles doivent être conservées pendant une période raisonnable, tant qu’une liste les remettant à jour n’est pas reçue du nouvel opérateur. Il résulte de la concertation menée par l’Autorité que cette période de conservation des données pourrait être de 30 jours.

III. – 3. Périmètre des numéros et utilisateurs

La liste d’utilisateurs fournie à l’éditeur couvre l’ensemble des numéros téléphoniques du plan de numérotation national français affectés par les opérateurs dans le but d’y raccorder un équipement offrant au moins un service téléphonique ou de télécopie quelle que soit la technologie employée. Ce périmètre s’étend au moins à l’ensemble des numéros présents dans l’annuaire page blanche actuel de France Télécom ainsi que les numéros mobiles de type 06ABPQMCDU et les numéros dédiés à la voix sur IP (de type 087BPQMCDU). Les autres numéros (numéros 3BPQ, numéros 08ABPQMCDU,…) sont inclus s’ils correspondent a priori à des équipements de téléphonie ou de télécopie (le numéro de l’horloge parlante 3699 est donc inclus, mais pas le numéro 3614 du minitel par exemple).

Pour chaque numéro fixe, il est mentionné un ou plusieurs utilisateurs, chacun pouvant avoir ses propres caractéristiques spécifiques parmi lesquelles une adresse postale, une profession, l’appartenance à certaines listes de restriction et une adresse courriel spécifique.

Pour chaque numéro mobile, il est mentionné un utilisateur, avec une adresse postale, une profession (facultative), l’appartenance à certaines listes de restriction et le cas échéant une adresse courriel.

Les personnes morales (entreprises, associations, administrations, etc.) sont incluses dans la liste d’utilisateurs fournie à l’éditeur selon les mêmes règles.

III. – 4. Champs

Numéros à paraître

La liste d’utilisateurs fournie à l ‘éditeur contient autant d’entrées que de numéros effectivement distribués, même si pour certains numéros, le numéro d'appel (ou numéro à paraître) est différent du numéro distribué (et potentiellement identique pour plusieurs numéros distribués). C’est en particulier le cas pour les numéros courts (appels d’urgence, horloge parlante, etc…), afin de permettre d’y associer plusieurs utilisateurs ou adresses.

La liste d’utilisateurs fournie à l ‘éditeur contient donc à la fois l’indication du numéro distribué et celle du numéro d'appel afin de permettre aux éditeurs de gérer ces cas, étant entendu que seuls les numéros d'appel sont visibles des utilisateurs finals.

Indications liées à la tarification des appels

Il est recommandé que les opérateurs fassent figurer dans la liste d’utilisateurs fournie à l ‘éditeur une information sur le type de tarification d’un appel à destination des numéros figurant dans leurs listes, hors numéros géographiques fixes et numéros mobiles (01 à 06). Il n’est pas nécessaire que la tarification exacte soit précisée, mais l’indication doit donner une visibilité du palier tarifaire maximum pour un appel vers ce numéro.

Sont donc distingués les numéros libre appel et libre appel universel, les numéros des services à revenus partagés ou à coûts partagés et autres services surtaxés, ainsi que pour chacun les principaux paliers tarifaires (cf. champ N7 de l'annexe technique).

Dans le cas de numéro à tarification particulière ne rentrant pas dans les catégories précédentes, l’éditeur se doit d’indiquer l’existence de cette exception tarifaire.

Listes de restriction et protection du consommateur

Les opérateurs ont obligation d’informer les abonnés sur les listes de restriction définies par le Code des postes et des communications électroniques et de permettre à ceux-ci de s’y inscrire.

Ils ont obligation de transmettre des listes d’utilisateurs complètes aux éditeurs (sans filtrage), avec mention des listes de restriction choisies par chaque utilisateur. Toutefois, conformément à la position de la CNIL et au projet de décret "Annuaire universel" soumis à consultation publique en septembre 2004, les listes communiquées aux éditeurs sont expurgées des données relatives aux personnes inscrites en "liste rouge".

Les opérateurs se doivent de respecter les droits et principes de protection des personnes dont les informations personnelles sont susceptibles d’être mentionnées dans les listes d’annuaire, en particulier ceux rappelés lors du groupe de travail organisé par la CNIL fin 2003.

Dans le cas où l'utilisateur a souscrit à la liste "asexuée" ou à la liste "délocalisée", il semble quand même nécessaire que l'opérateur transmette le prénom complet et l'adresse complète à l’éditeur.

Adresse électronique

Le fournisseur d’accès à Internet choisi par l’abonné n'étant pas nécessairement opérateur de service téléphonique, il peut ne pas avoir la possibilité de transmettre les adresses électroniques de ses abonnés aux éditeurs dans le cadre de la cession des listes de l'annuaire universel.

Dans ces conditions, il est recommandé que tout opérateur de service téléphonique propose à ses abonnés la possibilité de mentionner dans ses listes d’utilisateurs une adresse électronique par utilisateur, et ceci même si cet opérateur n'est pas lui-même fournisseur d’accès à Internet.

III. – 5. Contraintes éditoriales

Les règles qui suivent, rédigées en ayant l’annuaire papier comme référence, s’appliquent de même aux réponses faites par les services de renseignements ou aux annuaires en ligne quand cela est pertinent.

Professions

Un opérateur doit proposer à ses abonnés la possibilité de mentionner dans ses listes d’utilisateurs une profession par utilisateur. Les opérateurs sont libres d’utiliser leur propre nomenclature, ou de ne pas réaliser de nomenclature, sous réserve de la réglementation en vigueur.

Ordre de listage des utilisateurs d’un même numéro

Les listes d’utilisateurs fournies aux éditeurs permettent d’associer plusieurs utilisateurs à un même numéro. Un opérateur doit donc proposer à ses abonnés la possibilité de mentionner dans ses listes d’utilisateurs un ordre de listage des utilisateurs d’un même numéro.

La gestion de cet ordre de listage est importante pour les opérateurs de téléphonie fixe. Ceux-ci doivent ainsi repérer dans les listes d’annuaire universel l’utilisateur principal de chaque numéro (qui peut ne pas être l’abonné), ceci afin de permettre aux éditeurs d’effectuer les classements alphabétiques des divers utilisateurs ainsi que cela est défini pour le classement des annuaires universels.

Regroupement de lignes

Les listes d’utilisateurs fournies aux éditeurs doivent pouvoir gérer un regroupement de numéros (par exemple les numéros d’une même entreprise ou d’un même utilisateur). Elles doivent pouvoir gérer un ordre de listage des différents numéros d’un regroupement de numéros (en particulier dans le cas d’une entreprise afin de lister en premier le standard d’accueil par exemple).

III. – 6. Formats et normes

Les opérateurs doivent mettre à disposition des éditeurs les différents types de fichiers mentionnés au III-1.

Le même fichier (aux restrictions de périmètre géographique près) doit être mis à disposition de tous les éditeurs y ayant droit. En particulier, si des informations facultatives sont insérées dans le fichier, le principe de non-discrimination impose que chaque éditeur les reçoive.

Ces fichiers doivent être soit envoyés (sous un format conforme aux standards du marché) directement aux éditeurs, soit entreposés sur un serveur informatique de l’opérateur auquel l’éditeur aura accès à distance (sous réserve des processus de sécurité et d'identification nécessaires). Dans les deux cas, il appartient aux acteurs de prendre les mesures de sécurité pertinentes liées à la protection de ces données.

Le format des listes d’annuaires présenté ci-dessous est un format logique fixant les informations à transmettre par les opérateurs aux éditeurs afin de garantir une compilation consistante et pertinente des informations reçues de différents opérateurs et la complétude des informations à éditer.

Pour certaines informations, un format particulier ou une liste de valeurs possibles est indiqué. Pour certaines autres qui par essence peuvent prendre des valeurs très variées (par exemple les champs d’adresse), il est recommandé de s’appuyer sur les normes existantes.

Les présentes lignes directrices s’attachent à proposer le format de chaque enregistrement de la liste (une liste des champs associés à un numéro de téléphone donné). Ce modèle ne préjuge pas du protocole de codage ou d’envoi finalement défini. En particulier, les champs non remplis doivent être envoyés vides, etc.

Les données sont toutes de type "chaînes de caractères". Dans les tableaux suivants, on note :

  • DO : un champ que chaque opérateur doit renseigner dans la liste transmise aux éditeurs. En particulier, pour les champs correspondants aux données personnelles des utilisateurs, les opérateurs doivent proposer aux utilisateurs de remplir ceux-ci. La valeur de ce champ peut cependant être " vide " si elle n’est pas pertinente (exemple une adresse ne contenant pas de " complément d’adresse ") ou si l’utilisateur n’a pas voulu renseigner le champ en question (exemple le champ " adresse électronique ").
  • DF : un champ facultatif que chaque opérateur est libre ou non de renseigner.

En-tête de fichier

 

Désignation

Longueur

Codage, commentaires

Statut

F1

Format du fichier

2

Version du protocole (valeur de 01 à 99).
La valeur de départ est 01.

DO

F2

Nombre d’enregistrements

8

Nombre d’enregistrements " utilisateur " dans le fichier.

DO

F3

Date de création du fichier

8

AAAAMMJJ

DO

F4

Numéro de version

4

Numéro incrémental de version de fichier de 0000 à 9999. Redémarre à 0000 après 9999.

DO

F5

Type de fichier

1

C= Complet
I = Incrémental

DO

F6

Opérateur

4

Code ART de l’opérateur.

DO

F7

Gestionnaire technique

4

Code fournisseur si différent de l’opérateur.

Uniquement si différent de F6

F8

Champ libre

100

 

DF

A la suite de l’en-tête, le fichier contient un certain nombre d’enregistrements " utilisateur " (voir ci-dessous).

Enregistrement " utilisateur "

 

Désignation

Longueur

Codage, commentaires

Statut


N1

Numéro d’ordre de l’enregistrement dans le fichier


8

 


DF


N2


Date de modification


8

Date de modification de l’enregistrement dans le SI de l’opérateur sous la forme AAAMMJJ


DF


N3


Type de modification


1

C= Création
M = Modification
S = Suppression

DO en cas de fichier delta


N4


Numéro de téléphone


10


E Z ABPQ MCDU


DO


N5


Type de terminal


3

Téléphone fixe, mobile, fax, téléphone/fax, mobile fax, mobile data, visio. fixe, visio. mobile (voir codage ci-dessous)


DF


N6


Type de service


3

Fixe, mobile, audiotel, kiosque, serveur vocal (voir codage ci-dessous)


DF


N7


Type de tarification


3

Libre appel (T0), libre appel universel (LAU), paliers T1 à T6, TF1, TF2, tarif spécial (TS)

DO pour les numéros spéciaux


N8

Indicateur de numéro d’urgence


1

O = Oui (SAMU, gendarmerie…)
N = Non


DF


N9

Indicateur de portabilité


1

E = Entrante
S = Sortante

DF pour le cédant, DO pour l’entrant


N10

Code opérateur de portabilité


4

Code ART de l’opérateur cédant ou prenant

DF pour le cédant, DO pour l’entrant


N11


Initiale pays
 


2


Indicatif télex


DF


N12


Numéro d’appel


20

Numéro à paraître (ex : 112)
(Les numéros libre appel universel apparaissent ici)

DO pour les numéros d’urgence

…/…

Désignation

Longueur

Codage, commentaires

Statut


A1


Numéro dans la voie


5

 


DO


A2

Complément du numéro dans la voie


1

De A à Z ou

b= bis, c= ter, etc.


DO


A3


Type de voie


4

R = Rue, Av = Avenue, Bd = Boulevard,
etc. Il est recommandé d’utiliser les normes existantes


DO

A4

Nom de la voie


40

 

DO

A5

Complément d’adresse

30

Bâtiment, lieu-dit, quartier, etc.

DO

A6

Arrondissement

2

Pour Paris (01 à 20), Lyon (01 à 09), Marseille (01 à 16)

DO

A7

Code Postal

5

 

DO

A8

Cedex

5

Ensemble cedex plus code

DO

A9

Boîte postale

5

 

DO

A10

Localité

60

 

DO

L2

Partie L2
de l’adresse au format postal

50

Couloir, appartement, etc.

DF

L3

Partie L3
de l’adresse au format postal

50

Ensemble bâtiment (bâtiment, immeuble, escalier, étage, etc.)

DO

L4

Partie L4
de l’adresse au format postal

50

Voirie (numéro, complément, type de voie, nom de la voie)

DO

L5

Partie L5
de l’adresse au format postal

50

Lieu-dit

DO

…/…

Désignation

Longueur

Codage, commentaires

Statut

U1

Dénomination de l’entreprise

100

 

DO (voir remarque ci-dessous)

U2

Nom

100

 

DO (voir remarque ci-dessous)

U3

Prénom

30

 

DO (voir remarque ci-dessous)

U4

Complément

60

Sigle, SARL, second prénom, etc.

DF

U5

Type d’utilisateur

1

R = Résidentiel
P = Professionnel
E = Entreprise

DF

U6

Désignation de ligne

100

Permet de préciser l’affectation de la ligne ou l’activité d’un utilisateur. Exemples : secrétariat, standard, modem Internet.

DF

U7

Profession

30

 

DO

U8

Code SIRET

14

 

DF

U9

Code NAF

4

   

DF

U10

Adresse électronique

50

 

DO

U11

Code NSIM

4

Rang de publication d’un utilisateur

DO pour fixe

U12

Code NIG ou équivalent

10

Numéro de référence d’une inscription groupée

DF

U13

Code NIGSEQ ou équivalent

10

Numéro d’ordre (000 à 999) dans une inscription groupée

DF

C1

Liste " délocalisée "

1

Liste de restriction n°2 de l’article R. 10
O = Oui (uniquement les champs A7 et A10)
N = Non

DO pour les personnes physiques

C2

Liste " asexuée "

1

Liste de restriction n°3 de l’article R. 10
O = Oui (uniquement une initiale*)
N = Non

DO pour les personnes physiques

C3

Liste " anti-prospection "

 

1

Liste de restriction n°4 de l’article R. 10
O = Oui
N = Non

DO pour les annuaires

C4

Liste " anti-recherche inversée "

 

1

Liste de restriction n°5 de l’article R. 10
O = Oui
N = Non

DO

C5
à
C9

Listes additionnelles

" 5 à 9 "

 

1 * 5

Champs réservés pour de futures listes
O = Oui
N = Non

DF

X1

Champ libre

200

 

DF

* Le choix de l’initiale est laissé à l’éditeur.

Remarques

Pour renseigner l’adresse, il est possible d’utiliser soit les champs Ai, soit les champs Li (plus les champs A6 à A10), mais l’usage d’au moins l’un des deux types de champs est obligatoire.

Dans le cas d'une personne physique, seuls les champs U2 et U3 doivent être renseignés ; U1 dans le cas d'une personne morale ou d'un publiphone ; U1 à U3 dans le cas d'un salarié.

L'adresse (c'est-à-dire les champs Ai et Li) des clients mobiles sera celle du titulaire du contrat1.

Codages de certains champs

Code

Libellé terminal (champ N5)

TF

Téléphone fixe

TM

Téléphone mobile

TC

Télécopieur

TPC

Téléphone et télécopieur

TX

Télex

MF

Mobile fax

MD

Mobile data

VF

Visiophone fixe

VM

Visiophone mobile

Pour un mobile fax ou un mobile data, le code 'TM' sera utilisé par défaut ; l'opérateur n'est tenu de considérer les codes MF ou MD que s'il dispose de l'information correspondante. De même pour la visiophonie.

Code

Libellé service (champ N6)

TFS

Service de téléphonie fixe standard

TFN

Service de téléphonie fixe numérique

TMS

Service de téléphonie mobile standard

SA

Service Audiotel

SK

Service kiosque

SV

Serveur vocal

Pour le champ N7, se référer à la décision 02-607 de l'ART en date du 23 juillet 2002.

IV. - Conditions financières

L'article R. 10-6 du Code des postes et des communications électroniques fixe les principes de tarification des cessions des listes :

"Les tarifs de cette communication, qui reflètent le coût du service rendu, sont établis par chaque opérateur selon les principes suivants :

1. Les coûts pris en compte pour la fixation du tarif sont ceux qui sont causés, directement ou indirectement, par la fourniture des listes d'abonnés. Ces coûts peuvent notamment comprendre une part liée à l'amortissement du matériel informatique et des logiciels nécessaires et une rémunération normale des capitaux employés.

2. Les coûts qui sont spécifiques à la fourniture des listes d'abonnés sont entièrement pris en compte dans la fixation du tarif. Les coûts liés à d'autres activités de l'opérateur en sont exclus."

 
IV. –1. Les principes

IV. – 1. – 1. Les coûts incrémentaux

Comme le relève la décision n°03-1038 de l’Autorité du 23 septembre 2003 se prononçant sur un règlement d'un différend opposant les sociétés Iliad et France Télécom :

"S’agissant de coûts liés à des informations utilisées à la fois pour les besoins de la constitution d’annuaires universels et de services universels de renseignements, qui visent à la satisfaction d’un objectif de prestation de service universel, et pour les besoins de l’entreprise, notamment la constitution de son fichier commercial, des règles d’allocation des coûts entre chacune de ces deux catégories d’activités sont nécessaires.

A cet égard, l’Autorité observe que le point 1. de l’article R.10-6 fait apparaître un lien de causalité et de spécialité entre les coûts à prendre en compte et l’activité de fourniture de listes d’abonnés, les coûts indirectement induits par l’activité ne pouvant être pris en compte que pour autant qu’ils sont nécessairement encourus du fait de l’activité.

Le point 2. de ce même article renforce cette analyse en excluant clairement les coûts liés à d’autres activités que celle de fourniture des listes.

Il résulte de ces dispositions que les coûts à prendre en compte sont les coûts incrémentaux correspondant à l’activité."

Les coûts pertinents correspondent donc aux coûts qui ne seraient pas encourus par les opérateurs en l'absence d'obligation de fournir des listes d'abonnés conformes aux dispositions du code des postes et des communications électroniques (CPCE), sachant que les opérateurs disposent nécessairement, pour leurs activités propres d'opérateurs de communications électroniques, d'un fichier commercial, technique et administratif de leurs abonnés.

IV. – 1. – 2. La rémunération du patrimoine

Méthode

On suppose qu'un investissement de valeur initiale K0 à la date 0 est amorti sur une période de T années. Le coût d'immobilisation du capital correspondant est calculé avec un taux de rémunération du capital réglementaire normatif, qui tient compte notamment du coût de l'argent d'une entreprise "moyenne" intervenant sur le marché concerné.

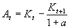
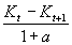
L’amortissement correspondant à l'année t est calculé par la formule :, où :

Kt est la valeur de l'actif en début d'année t, a est le taux de rémunération du capital et t est compris entre 0 et T-1 (KT = AT = 0).

Cet amortissement incorpore un terme de rémunération du capital : et un terme de dépréciation du capital : . On vérifie que la somme actualisée des amortissements annuels est bien égale à la valeur d’investissement initiale .

Si on considère que Kt décroît linéairement avec le temps : , alors l'amortissement de l'année t vaut .

Le taux de rémunération du capital

L'article R. 10-6 prévoit que les coûts pris en compte peuvent notamment comprendre "une rémunération normale" des capitaux employés. Cette rémunération doit être fonction du risque de l'activité considérée.

La cession de listes à des fins d'annuaire universel est une activité réglementée ; les coûts engendrés chez les opérateurs sont entièrement recouvrés auprès des éditeurs. Dès lors, l’Autorité estime que l'activité est faiblement risquée et le taux utilisé pour des activités de réseau constitue un plafond de celui à prendre en compte dans le cadre des cessions de liste.

Le taux de rémunération du capital utilisé pour l'évaluation des tarifs d'interconnexion et de dégroupage de la boucle locale de France Télécom peut être utilisé comme référence par les opérateurs pour évaluer leurs tarifs.

Le dernier taux de rémunération du capital fixé par l'ART est de 10,4% (cf. décision 03-1094) ; il concernait l'année 2004.

IV. – 1. – 3. Du droit de propriété intellectuelle

Dans le cadre de la tarification des cessions de liste, l’Autorité estime que la rédaction de l’article R.10-6 du CPCE ne semble pas permettre la prise en compte d’une rémunération au titre d’un droit de la propriété intellectuelle

IV. – 1. – 4. Le principe de non-discrimination

Ce principe demande à ce qu'un opérateur propose ses listes d'abonnés à des conditions (techniques, financières et de délais) qui soient identiques pour tous les éditeurs. Cela implique que, quand un opérateur est également éditeur, il doit proposer ses listes d'abonnés aux autres éditeurs aux mêmes conditions que celles qu'il propose en interne.

IV. 2. Les catégories de coûts

Les coûts à prendre en compte pour la tarification des listes sont les coûts incrémentaux, tels qu'ils sont définis au IV.1.1. En cas de différend portant sur le périmètre des coûts à retenir, l'Autorité se fondera sur ce principe de coûts incrémentaux. Elle pourra, le cas échéant, retenir une base de coûts différente de celle indiquée ci-dessous, qui correspond à son analyse a priori.

Les coûts se décomposent en :

  • des coûts de constitution de la base ;
  • des coûts de mise à jour de la liste ;
  • des coûts "spécifiques" à chaque éditeur.

IV. – 2. – 1. Les coûts de constitution de la base

1a. Coûts d'information du parc d'abonnés et de traitement des réponses

Il s'agit des coûts :

  • d'information auprès du parc d'abonnés (information adressée : inserts factures, mailings, SMS, VMS, pages correspondantes d'un journal des abonnés, ou non : pages web dédiées, serveur vocal interactif) ;
  • de formation des personnels de distribution et de service client ;
  • de personnel correspondant au recueil et au traitement des données personnelles des abonnés et de leurs souhaits, y compris les coûts de réception et de traitement des appels clients ;
  • dans le cas où le recueil des informations serait réalisé par des prestataires externes (cas des distributeurs pour la téléphonie mobile par exemple), une rémunération raisonnable de ce service de recueil par ces prestataires peut être considérée.

1b. Coûts de développement informatique

Il s'agit des coûts de développement et de mise à niveau du système d'information permettant :

  • de recueillir les coordonnées personnelles et les souhaits des abonnés ;
  • de développer la base de données ;
  • d'éditer des fichiers, qu'ils soient complets ou "delta", et de suivre les flux de fichiers avec les éditeurs ;
  • le cas échéant, de proposer aux éditeurs un accès direct à la base de données ;
  • de gérer les contrats avec les éditeurs (y compris la facturation).

1c. Coûts de l'équipe projet

IV. – 2. – 2. Les coûts de mise à jour de la liste

2a. Coûts initiaux de formation du personnel

Il s'agit de la formation initiale de la distribution et du service client correspondant à l'information envers les nouveaux abonnés.

2b. Coûts récurrents d'information des abonnés et de traitement des réponses

Il s'agit des coûts :

  • d'information auprès des nouveaux abonnés ;
  • de formation des nouveaux personnels de distribution et de service client ;
  • de recueil et de traitement des données personnelles des nouveaux abonnés et de leurs souhaits, y compris les coûts de réception et de traitement des appels clients ;
  • de recueil et de traitement des modifications des données personnelles et des souhaits des abonnés.

Dans le cas où l'information des abonnés et le recueil de leurs réponses sont réalisées par des sous-traitants, ceux-ci sont rémunérés par les opérateurs pour cette fonction. Toutefois, cette rémunération incluant a priori une marge, elle n’est pas "orientée vers les coûts" et ne peut donc être directement prise en compte pour le calcul des tarifs.

Les opérateurs devront plutôt considérer les coûts d'information qu'ils encourraient si ces activités étaient effectuées en propre. Les opérateurs ayant en général leur propre distribution, ces coûts pourront être évalués de façon simple à partir du nombre d'abonnés contactés par mode de distribution.

Dans le cas de France Télécom, la décision du Conseil de la Concurrence2 admet la pertinence des coûts de la collecte et de la vérification des données, sans toutefois indiquer quels étaient les champs qui demandaient vérification, ni l'étendue du contrôle.

Les coûts liés à la collecte et au contrôle de l'exactitude des données sont pertinents dès lors qu'ils sont incrémentaux puisque, au titre du 1er alinéa du II de l'article R. 10-3 du CPCE, "les opérateurs prennent, chacun en ce qui le concerne, les précautions nécessaires afin d'assurer le contrôle de l'exactitude des données figurant dans les listes et de la qualité, notamment technique, de ces listes qui doivent être mises à jour".

Ainsi, les coûts de collecte et de vérification du nom et de l'adresse ne sont pertinents que dès lors que ces informations ne sont pas nécessaires pour des besoins internes à l'opérateur (opérations techniques, rédaction du contrat, facturation).

Ainsi, les coûts de collecte et de vérification pertinents sont a priori les suivants :

  • professions dans tous les cas (cette information n'est pas nécessaire dans le cadre du métier d'opérateur) ;
  • vérification des coordonnées des autres utilisateurs que l'abonné souhaitant apparaître dans l'annuaire ;
  • ensemble des coordonnées dans le cadre des mobiles prépayés.

Par contre, pour le fixe et le postpayé mobile, la vérification du nom et de l'adresse de l'abonné n'est pas incrémentale ; les coûts de vérification de ces coordonnées ne sont donc pas à prendre en compte.

2c. Coûts de maintenance informatique

Il s'agit des coûts de maintenance, qu'elle soit corrective ou évolutive, des applications informatiques visées en 1b.

IV. – 2. – 3. Les coûts "spécifiques" à un éditeur

Il s'agit des coûts de rédaction et de gestion du contrat avec l'éditeur, y compris la facturation et le recouvrement, d'envoi de fichiers à l'éditeur, de traitement des rejets (dès lors qu'ils constituent un volant raisonnable) et, le cas échéant, les coûts de réponse aux requêtes de l'éditeur.

Les coûts pris en compte ici ne doivent pas être à nouveau comptabilisés dans les coûts indirects.

S'agissant d'un produit de gros "normalisé", la cession de listes ne donne lieu à aucun coût commercial supplémentaire par rapport à ceux déjà identifiés.

IV. – 2. –4. Les coûts indirects

La pertinence de ces coûts est imposée par le décret, à condition qu'ils soient induits par la fourniture des listes d'abonnés.

Les coûts indirects, également appelés coûts de structure, sont notamment les coûts des bâtiments, de soutien, des véhicules. Ces coûts peuvent également comprendre des coûts d'informatique et de formation. Dans ce cas, il ne devra pas y avoir de doubles comptes avec les coûts déjà répertoriés précédemment.

En particulier, si on utilise un taux normatif de coûts indirects, provenant par exemple d'un benchmark, il faudra s'assurer que le périmètre des coûts considérés correspond à celui cherché.

La décision du Conseil de la Concurrence précitée indique que le rapport d’expertise diligenté par M. Baloteaud "note qu’un taux de l'ordre de 40% à 50% du salaire chargé est traditionnellement considéré comme normatif pour une activité administrative ou de service sans forte valeur ajoutée". Il retient la fourchette moyenne, soit 45%".

IV. – 2. – 5. Les coûts communs

Dans le cadre d'une tarification incrémentale, il n'y a pas lieu de considérer des coûts communs. On peut d'ailleurs remarquer que l'article R. 10-6 du CPCE ne les mentionne pas, contrairement par exemple aux dispositions réglementaires du CPCE relatives à l’interconnexion.

IV. 3. La tarification

IV. – 3 – 1 La tarification à l’usage effectif

Dans le cadre de la décision de règlement de différend France Télécom-Iliad précitée et rendue le 23 septembre 2003, l’Autorité a privilégié la tarification à l’usage effectif car celle-ci aboutit à des prix ramenés à la requête, à l’appel ou à l’exemplaire imprimé comparables, ce qui permet d’assurer sur les marchés finals du renseignement ou des annuaires des conditions équivalentes aux différents acteurs.

Une telle tarification paraît particulièrement appropriée dans le cas d’opérateurs disposant d’un nombre significatif d’abonnés, ce qui correspond concrètement à France Télécom pour son activité fixe et aux trois opérateurs mobiles métropolitains.

Une telle tarification n’est cependant pas utile si :

  • sa mise en place technique induit des coûts disproportionnés quant au prix de cession de la base ;
  • les tarifs fixes pratiqués par l’opérateur ne conduisent pas à des distorsions trop importantes pour les acteurs accédant à la base.

De la même façon, un opérateur, même s'il dispose d'un parc d'abonnés important, pourra proposer des items tarifaires qui ne dépendent pas du volume de détail des éditeurs dans la mesure où les montants recouvrés au travers de ces tarifs sont faibles et que les items tarifaires respectent le critère de causalité des coûts.

IV. – 3 – 2 L'amortissement des coûts

Certains des postes de coûts ci-dessus sont nécessaires à la mise en place du système (information et traitement des réponses du parc d'abonnés, développement des systèmes d'information), d'autres sont récurrents (information des nouveaux abonnés, maintenance des applications).

Les coûts récurrents seront naturellement recouvrés l'année où ils sont encourus. Les coûts d'initialisation (coûts listés en IV.2.1 et en rubrique 2a de IV.2.2) ne sont encourus que lors de la mise en œuvre de la base, mais peuvent être importants au regard des coûts induits en régime permanent.

Il se pose alors la question des modalités de recouvrement de ces coûts, qui ne peuvent pas être considérés comme des coûts d'exploitation. Une durée d'amortissement supérieure ou égale à la durée d’amortissement comptable, et au minimum de trois ans, semble une durée raisonnable pour permettre à la fois un "lissage" des tarifs et ne pas repousser trop longtemps le recouvrement d'investissements passés.

IV. – 3 – 3 Séparation entre les activités d'annuaires universels et les autres usages

Les coûts de constitution et de mise à jour de la liste doivent être répartis entre toutes les activités qui utilisent les données recueillies au titre de l'annuaire universel et les autres activités utilisant tout ou partie de ces listes.

Il est difficile de proposer une clé de ventilation des coûts entre les différents usages des données personnelles recueillies qui soit commune à l'ensemble des opérateurs dans la mesure où certains opérateurs auront des usages divers en dehors de la cession de liste à des fins d’annuaires universels.

Il appartiendra donc à chaque opérateur de décider de sa clé d'allocation des coûts de constitution et de mise à jour de sa liste entre activités.

Cette clé devra notamment tenir compte des usages internes ainsi que des chiffres d'affaires de cession réalisés par l'opérateur sur chacune des activités liées à ces listes.

IV. – 3 – 4 Ventilation sur les différentes activités d'éditeurs

Dans le cadre d'une tarification à l’usage effectif, il est nécessaire de proposer des volumes pour chacun des produits ainsi que des coefficients de volume équivalents. Ce paragraphe est écrit sans préjudice du fait que les cessions de liste de certains opérateurs ou que certaines composantes de coûts ne demandent pas à être tarifées à l’usage effectif (cf. introduction du IV.3.1).

Les unités d’oeuvres proposées sont les suivantes :

  • nombre d'annuaires imprimés ;
  • nombre d’appels aux services de renseignements ;
  • nombre de requêtes aux annuaires en ligne.

Les coefficients de volumes équivalents (c'est-à-dire les paramètres d'allocation des coûts) sont les suivants :

  • un appel aux services de renseignements correspond à deux requêtes aux annuaires en ligne ;
  • un annuaire papier correspond à 21,73 requêtes ;
  • un annuaire sur support fixe numérique ou électronique (type CD-Rom) pourrait correspondre à dix annuaires papier en terme de nombre de requêtes.

Ce type d’équivalence est arbitraire et correspond à un partage des coûts entre différentes activités aval de l’annuaire universel : annuaires imprimés, services de renseignements, annuaires en lignes ; la clé recommandée à ce stade par l’Autorité est celle mise en œuvre par France Télécom à la suite du règlement de différend Illiad.

A partir des chiffres de prévision de volume proposés au paragraphe IV.4 et des coefficients ci-dessus, on peut calculer un nombre prévisionnel 2005 de 2,8 milliards d’équivalents requêtes.

IV. – 3 – 5 La tarification des coûts spécifiques

Les paramètres de variations des coûts spécifiques aux éditeurs facturés par un opérateur sont a priori les suivants :

  • mode d'accès aux données : requête à une base de données / fichier global / fichier delta
  • fréquence de rafraîchissement (dans le cas d'envois de fichiers).

Dès lors, la grille de tarification pourrait être du type suivant :

 

Frais d’accès

Frais d’abonnement

Achat à l’unité

Base de données

     

Fichier complet

     

Fichier delta

     

Les coûts recouvrés à travers cette grille devront vérifier le principe de causalité des coûts.

Les frais d'abonnement peuvent varier avec la périodicité de mise à disposition des données. Toutefois, il est suggéré aux opérateurs d'adopter une tarification qui ne soit pas désincitative pour les éditeurs à rafraîchir fréquemment leurs données.

Pour une cession particulière ou un abonnement particulier à un type de cession, le montant facturé par l’opérateur résulte de l’application de sa grille tarifaire à l’usage déclaré par l’éditeur.

De manière rigoureuse, ceci nécessiterait que les éditeurs mettent en place des systèmes de comptage effectif de leurs usages des listes. Cette solution étant onéreuse, et donc susceptible d’induire un surcoût pour le client final, l’Autorité recommande que les acteurs s’accordent plutôt sur un processus d’estimation qui pourrait faire office de standard dans la profession (basé par exemple sur une estimation d’usage au prorata du nombre d’enregistrements des listes reçues).

Par ailleurs, afin de suivre le caractère orienté vers les coûts de leur tarification, les opérateurs sont invités à tenir un compte retraçant les coûts qu’ils ont encourus, les tarifs pratiqués et les revenus correspondant aux cessions.

IV. – 4. Prévisions de volumes

Les prévisions 2005 sont les suivantes :

 

Unités

Au titre de l’annuaire universel

Autres activités

Total

Annuaires papier

Millions d’annuaires imprimés

31,6

31,6

63,3

Annuaires numériques

Millions de CD-Rom imprimés

A évaluer

A évaluer

A évaluer

Annuaires électroniques

Millions de requêtes

609

203

812

Services de renseignements

Millions de requêtes

435

145

581

 

 

Contexte réglementaire

Dispositions pertinentes du code des postes et des communications électroniques

 

I. - Dispositions législatives : article L. 34

" La publication des listes d'abonnés ou d'utilisateurs des réseaux ou services de communications électroniques est libre, sous réserve de la protection des droits des personnes.

Parmi les droits garantis figurent ceux pour toute personne d'être mentionnée sur les listes d'abonnés ou d'utilisateurs publiées dans les annuaires ou consultables par l'intermédiaire d'un service de renseignements ou de ne pas l'être, de s'opposer à l'inscription de certaines données la concernant dans la mesure compatible avec les nécessités de la constitution des annuaires et des services de renseignements auxquels ces listes sont destinées, d'être informée préalablement des fins auxquelles sont établis, à partir de ces listes, des annuaires et services de renseignements et des possibilités d'utilisation reposant sur des fonctions de recherche intégrées à leur version électronique, d'interdire que les informations nominatives la concernant soient utilisées dans des opérations commerciales, ainsi que de pouvoir obtenir communication desdites informations nominatives et exiger qu'elles soient rectifiées, complétées, clarifiées, mises à jour ou effacées, dans les conditions prévues aux articles 35 et 36 de la loi nº 78-17 du 6 janvier 1978 relative à l'informatique, aux fichiers et aux libertés.

Le consentement préalable des abonnés à un opérateur de téléphonie mobile est requis pour toute inscription dans les listes d'abonnés ou d'utilisateurs établies par leur opérateur mobile, destinées à être publiées dans les annuaires ou consultables par l'intermédiaire d'un service de renseignements, de données à caractère personnel les concernant.

Sur toute demande présentée en vue d'éditer un annuaire universel ou de fournir un service universel de renseignements, même limitée à une zone géographique déterminée, les opérateurs sont tenus de communiquer, dans des conditions non discriminatoires et à un tarif reflétant les coûts du service rendu, la liste de tous les abonnés ou utilisateurs auxquels ils ont affecté, directement ou par l'intermédiaire d'un distributeur, un ou plusieurs numéros du plan national de numérotation téléphonique prévu à l'article L. 44. Les données communiquées portent soit sur l'ensemble des abonnés et des utilisateurs de l'opérateur, soit sur ceux qui sont domiciliés dans la ou les communes de la zone géographique faisant l'objet de la demande. Un décret en Conseil d'Etat, pris après avis de la Commission supérieure du service public des postes et des communications électroniques, précise les modalités d'application du présent alinéa.

Les litiges relatifs aux conditions techniques et financières de la fourniture des listes d'abonnés prévue à l'alinéa précédent peuvent être soumis à l'Autorité de régulation des télécommunications conformément à l'article L. 36-8. "

II. –Dispositions réglementaires

Article R10

" Toute personne ayant souscrit un abonnement au service téléphonique au public a le droit de figurer gratuitement sur une liste d'abonnés ou d'utilisateurs destinée à être publiée.

Elle peut obtenir gratuitement de l'opérateur auprès duquel elle est abonnée ou au distributeur de ce service :

1. De ne pas être mentionnée sur les listes d'abonnés ou d'utilisateurs publiées ou susceptibles d'être consultées par les services universels de renseignements ;

2. Que ces listes ne comportent pas l'adresse complète de son domicile sauf lorsque l'activité professionnelle mentionnée consiste à fournir des biens ou des services aux consommateurs ;

3. Que ces listes ne comportent pas de référence à son sexe, sous réserve d'absence d'homonymie sur la même liste ;

4. Que les données à caractère personnel la concernant issues des listes d'abonnés ou d'utilisateurs ne soient pas utilisées dans des opérations de prospection directe soit par voie postale, soit par voie de communications électroniques, sans préjudice des dispositions de l'article L. 33-4-1, à l'exception des opérations concernant la fourniture du service téléphonique au public et relevant de la relation contractuelle entre l'opérateur et l'abonné.

5. Que ces données ne soient pas mentionnées sur des listes d'abonnés ou d'utilisateurs permettant la recherche inversée de l'identité de l'abonné et de l'utilisateur à partir de son numéro de téléphone.

Les abonnés sont informés par les opérateurs ou leurs distributeurs des droits mentionnés aux alinéas précédents au moment où ils souscrivent leur abonnement. Ces droits peuvent être exercés au moment de la souscription de l'abonnement ou, ultérieurement, à tout moment, auprès de l'opérateur ou du distributeur du service.

Les abonnés qui ont demandé le bénéfice des dispositions prévues au 1 ci-dessus bénéficient de plein droit des dispositions du 4.

Les abonnés qui ont opté pour un mode de règlement entièrement prépayé de leurs communications et qui n'ont aucun engagement contractuel de durée avec leur opérateur doivent, pour figurer sur les listes d'abonnés ou d'utilisateurs mentionnées au premier alinéa, formuler une demande auprès de leur opérateur ou distributeur. Ils fournissent à cette fin les renseignements prévus au I de l'article R. 10-3. "

Article R10-1

" Le fait d'utiliser, dans des opérations de prospection directe, des données à caractère personnel contenues dans les listes d'abonnés ou d'utilisateurs du service téléphonique au public relatives aux personnes ayant exprimé leur opposition, par application des dispositions du 4 de l'article R. 10, quel que soit le mode d'accès à ces données, est puni, pour chaque correspondance ou chaque appel, de l'amende prévue pour les contraventions de la quatrième classe, sans préjudice de l'application du premier alinéa de l'article 226-18 du code pénal.

La prospection directe des personnes physiques en violation des dispositions du premier alinéa de l'article L. 33-4-1 est punie, pour chaque communication, de l'amende prévue pour les contraventions de la quatrième classe, sans préjudice de l'application du premier alinéa de l'article 226-18 du code pénal. "

Article R10-2 (services télex, pour mémoire)

Article R10-3

" I. - Les opérateurs établissent les listes d'abonnés et d'utilisateurs mentionnées au troisième alinéa de l'article L. 33-4.

Ces listes contiennent les données permettant d'identifier les abonnés ou les utilisateurs, d'empêcher toute confusion entre les personnes et de prendre connaissance des oppositions qui ont été formulées en application de l'article R. 10.

Sans préjudice des dispositions des 1, 2 et 3 de l'article R. 10, ces données sont constituées par les noms, prénoms et, le cas échéant, les raisons sociales ou dénominations sociales, adresses et numéros de téléphone des abonnés au service téléphonique au public et de ses utilisateurs. Les abonnés à la téléphonie fixe peuvent demander l'insertion dans les listes des données relatives aux autres utilisateurs de la ligne concernée, sous réserve de leur accord, qui doit accompagner la demande.

Les opérateurs insèrent dans les listes la mention de la profession ou activité des personnes qui en font la demande sous leur responsabilité. Ils peuvent également proposer l'insertion des adresses électroniques des abonnés ou utilisateurs.

Les listes font apparaître les oppositions que les abonnés ou utilisateurs ont formulées en application de l'article R. 10.

II. - Les opérateurs prennent, chacun en ce qui le concerne, les précautions nécessaires afin d'assurer le contrôle de l'exactitude des données figurant dans les listes et de la qualité, notamment technique, de ces listes qui doivent être mises à jour.

Afin que les données correspondantes soient prises en compte dans ces listes, les distributeurs transmettent à chaque opérateur, dans un délai d'un jour suivant la date de la souscription du contrat, les données relatives à l'abonné avec lequel un contrat a été signé. "

Article R10-4

" I. - Les opérateurs communiquent les listes d'abonnés et d'utilisateurs prévues au troisième alinéa de l'article L. 33-4 à toute personne souhaitant éditer un annuaire universel ou fournir un service universel de renseignements dans les conditions suivantes :

  • soit sous la forme d'un fichier ;
  • soit par accès à une base de données que les opérateurs sont tenus de mettre à jour dans un délai n'excédant pas deux jours ouvrables suivant la souscription du contrat par l'abonné ou la réception des données utiles transmises par des distributeurs.

Les données communiquées concernent soit l'ensemble des abonnés et des utilisateurs domiciliés en France, soit les abonnés et utilisateurs domiciliés dans la ou les communes de la zone géographique faisant l'objet de la demande.

Les modalités d'accès à cette base de données, le format des données ainsi que les caractéristiques du fichier mentionné au deuxième alinéa sont définis par accord entre le demandeur et l'opérateur.

Préalablement à toute communication des listes qu'ils ont constituées, les opérateurs en retirent les données relatives aux abonnés et utilisateurs qui ont demandé à la fois le bénéfice des dispositions du 1 et du 5 de l'article R. 10.

II. - L'usage des listes obtenues par application du troisième alinéa de l'article L. 33-4 à d'autres fins que la fourniture d'annuaires universels ou de services universels de renseignements téléphoniques est interdit.

Sauf stipulations contractuelles contraires, toute vente des listes obtenues par application du troisième alinéa de l'article L. 33-4 est interdite.

Sans préjudice de l'application des peines prévues à l'article 226-21 du code pénal, le fait de contrevenir aux dispositions du II du présent article est puni, pour chaque abonné concerné, de l'amende prévue pour les contraventions de la quatrième classe. "

Article R10-5

" Les éditeurs d'annuaire universel et les fournisseurs de service universel de renseignements prennent les mesures nécessaires pour préserver, compte tenu des techniques disponibles, la sécurité des informations qui leur ont été communiquées en application de l'article L. 33-4 afin d'empêcher l'altération, la destruction ou la communication à des tiers non autorisés des fichiers et des données qu'ils contiennent. Ils prennent toutes dispositions, notamment contractuelles, vis-à-vis de leurs agents et de leurs partenaires commerciaux afin que ceux-ci respectent la confidentialité des informations qui leur ont été, le cas échéant, confiées.

Les éditeurs d'annuaire universel et les fournisseurs de service universel de renseignements ne doivent pas effectuer ou permettre à quiconque d'effectuer des opérations tendant à isoler au sein des listes mentionnées au premier alinéa les abonnés d'un opérateur ou d'un distributeur particulier.

Les éditeurs d'annuaire universel et les fournisseurs de service universel de renseignements traitent et présentent de manière non discriminatoire les données relatives aux abonnés qui leur sont communiquées par les opérateurs. Ils s'abstiennent notamment de toute discrimination en fonction de l'opérateur ou du distributeur.

Les insertions publicitaires ou autres prestations permettant aux professionnels qui le souhaitent d'apparaître dans les annuaires universels de manière particulière doivent être identifiées comme telles.

Lorsqu'une personne disposant de plusieurs contrats d'abonnement fait usage des droits prévus à l'article R. 10 de manière différente selon les opérateurs, les éditeurs d'annuaire universel et les fournisseurs de service universel de renseignements doivent appliquer aux données à caractère personnel la concernant soit l'ensemble des protections qu'elle a choisies auprès des différents opérateurs, soit la protection la plus forte qu'elle a choisie auprès de l'un des opérateurs. "

Article R10-6

" La communication des listes d'abonnés et d'utilisateurs, par application du troisième alinéa de l'article L. 33-4, donne lieu à rémunération des opérateurs ayant communiqué ces données.

Les tarifs de cette communication, qui reflètent le coût du service rendu, sont établis par chaque opérateur selon les principes suivants :

1. Les coûts pris en compte pour la fixation du tarif sont ceux qui sont causés, directement ou indirectement, par la fourniture des listes d'abonnés. Ces coûts peuvent notamment comprendre une part liée à l'amortissement du matériel informatique et des logiciels nécessaires et une rémunération normale des capitaux employés.

2. Les coûts qui sont spécifiques à la fourniture des listes d'abonnés sont entièrement pris en compte dans la fixation du tarif. Les coûts liés à d'autres activités de l'opérateur en sont exclus. "

Article R10-7

" Sous réserve des dispositions des 1, 2, 3 et 5 de l'article R. 10, tout annuaire universel sous forme imprimée ou électronique et tout service universel de renseignements donnent accès aux noms et prénoms, aux raisons sociales ou dénominations sociales, aux adresses et aux numéros de téléphone de tous les abonnés au service téléphonique au public et des utilisateurs qui ont manifesté leur accord. Ils donnent également accès à la mention de la profession des personnes qui l'ont souhaité dans les conditions prévues au quatrième alinéa de l'article R. 10-3.

Tout annuaire universel électronique donne, en outre, accès aux adresses électroniques figurant dans les listes d'abonnés et d'utilisateurs.

Tout annuaire universel fait apparaître les oppositions que les abonnés et les utilisateurs ont exprimées en application du 4 de l'article R. 10.

Tout annuaire universel comporte une information facilement accessible pour tout utilisateur relative :

  • à l'ensemble des droits prévus à l'article R. 10 ;
  • au droit pour chaque personne d'obtenir communication des données à caractère personnel la concernant et de demander leur rectification, leur mise à jour ou leur destruction. "

Article R10-8

" L'annuaire universel sous forme imprimée que France Télécom édite en application de l'article L. 35-4 est publié chaque année à une date portée à la connaissance du public.

L'annuaire universel sous forme électronique prévu par les mêmes dispositions permet l'accès immédiat du public, à un tarif abordable, aux informations qu'il contient et qui sont régulièrement mises à jour.

France Télécom met gratuitement à la disposition de tout abonné au service téléphonique au public un exemplaire des volumes départementaux de l'annuaire universel du département dans lequel l'abonnement a été souscrit, y compris lorsque l'intéressé a fait usage des droits prévus à l'article R. 10. Lorsque plusieurs abonnés ont le même domicile ou lorsque la même personne dispose de plusieurs abonnements correspondant à une même adresse, il est mis à disposition un seul exemplaire gratuit. France Télécom propose à la vente l'annuaire universel à un tarif abordable.

Le service universel de renseignements assuré par France Télécom est accessible à un tarif abordable. "

Article R10-9

" Est interdit l'usage de tout document imitant ceux qu'utilisent les fournisseurs du service téléphonique au public dans leurs rapports avec leurs abonnés, notamment les factures.

Est interdit l'usage de tout document imitant ceux qu'utilisent les concessionnaires de publicité dans les annuaires d'abonnés au service téléphonique au public pour recueillir des souscriptions de publicité à insérer dans ces annuaires.

Le fait de contrevenir aux dispositions du présent article est puni, pour chaque document mis en circulation, de l'amende prévue pour les contraventions de quatrième classe. "

Article R10-10

" Les personnes morales peuvent être déclarées responsables pénalement, dans les conditions prévues par l'article 121-2 du code pénal, des infractions définies aux articles R. 10-1, R. 10-2, R. 10-4 et R. 10-9.

La peine encourue par les personnes morales est l'amende, suivant les modalités prévues par l'article 131-41 du code pénal. "

 

____________________
1) Toutefois, le projet de décret "Annuaire universel" prévoit que, pour les mobiles, l'abonné puisse être remplacé par l'utilisateur en ce qui concerne la liste Annuaire (après accord de ce dernier).
2) Paragraphe 20 de la décision 03-D-43 du Conseil de la Concurrence du 12 septembre 2003
3) Ce ratio est celui de la grille tarifaire de France Télécom, Cf. www.lesprix.francetelecom.com/Catalogue/Catalogue.nsf/WebMainNav, section L12.

 

© Autorité de régulation des télécommunications - Décembre 2004
7, square Max Hymans - 75730 PARIS Cedex 15
Téléphone : +33 1 40 47 70 00 - Télécopie : +33 1 40 47 71 98